Extra Ordinary Women Logo Linen Hall Library Logo
search icon

Explore our Collections

close icon
(9)_v0_web.jpg -

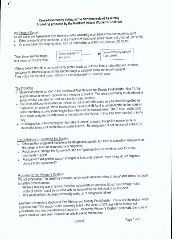
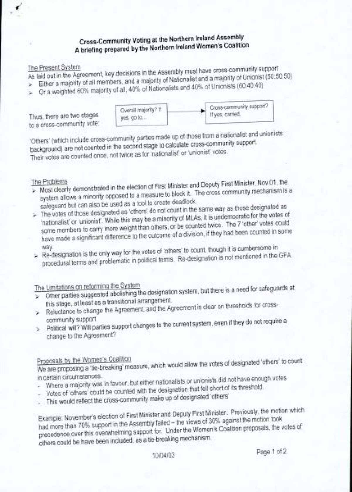
Cross-Community Voting at the Northern Ireland Assembly

Date:

10/04/2003

REF:

NIPC/WC/BOX19(7)

Scope and Content:

A 2003 briefing paper by the Northern Ireland Women's Coalition titled 'Cross-Community Voting at the Northern Ireland Assembly.' The paper outlines problems with the current voting system in Northern Ireland, and proposes solutions and recommendations for voting reform, including a tie-breaking mechanism.

Collection:

Northern Ireland Political Collection, Northern Ireland Women's Coalition,

Copyright Holder:

Northern Ireland Women's Coalition

Keywords:

Female Representation, Women's Voice, Politics, Political Parties, Leadership, Election, Voting, Campaign, Party Politics, Women's Groups, Women's Movement, Women, Women's Experiences, Government Northern Ireland, Cross Community, Reform

Audio & Video:

Images & PDFs: