Extra Ordinary Women Logo Linen Hall Library Logo
search icon

Explore our Collections

close icon
(13)_v0_web.jpg -

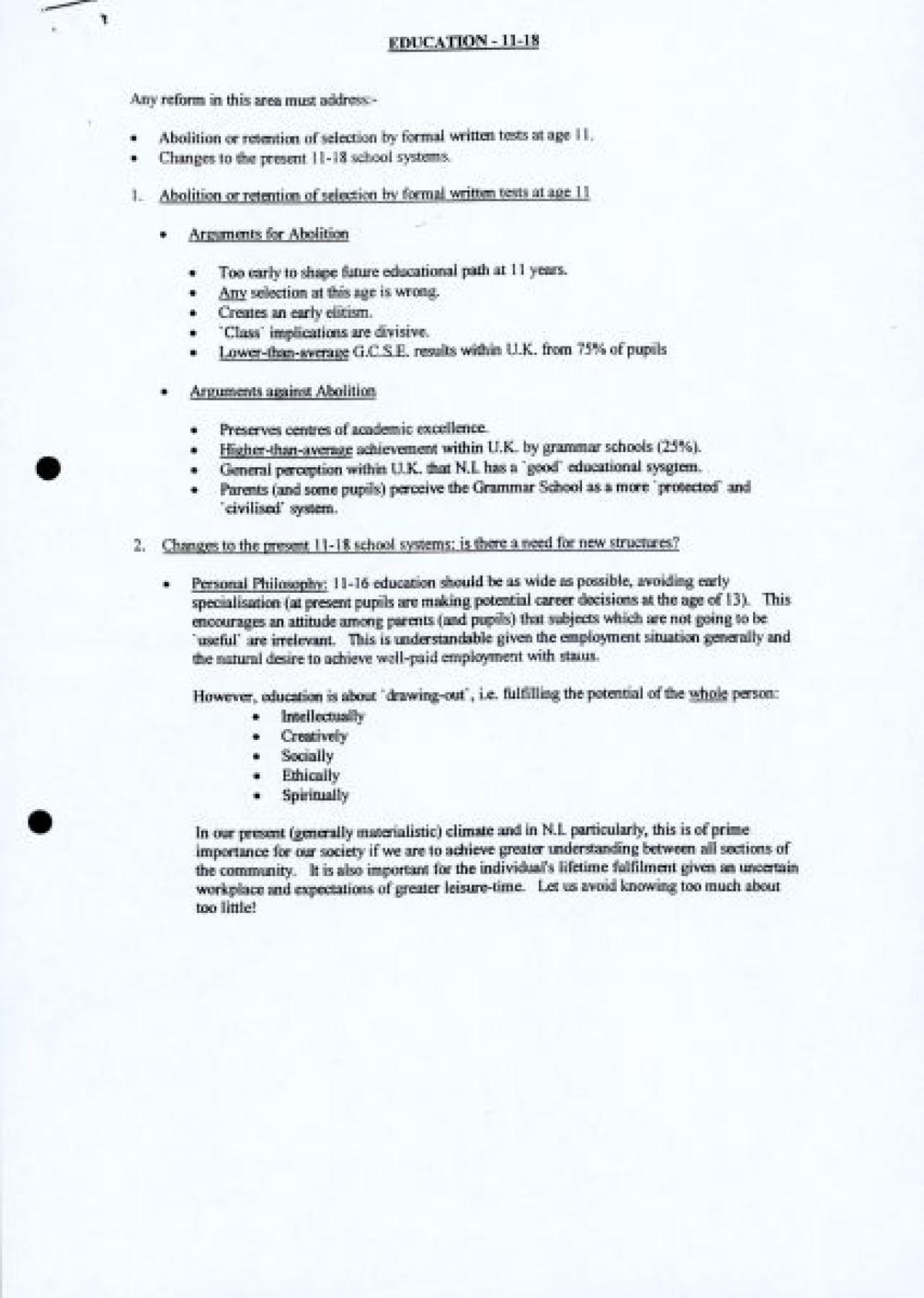
Education 11-18 - Statements of Philosophy

Date:

Unknown

REF:

NIPC/WC/BOX16(18)

Scope and Content:

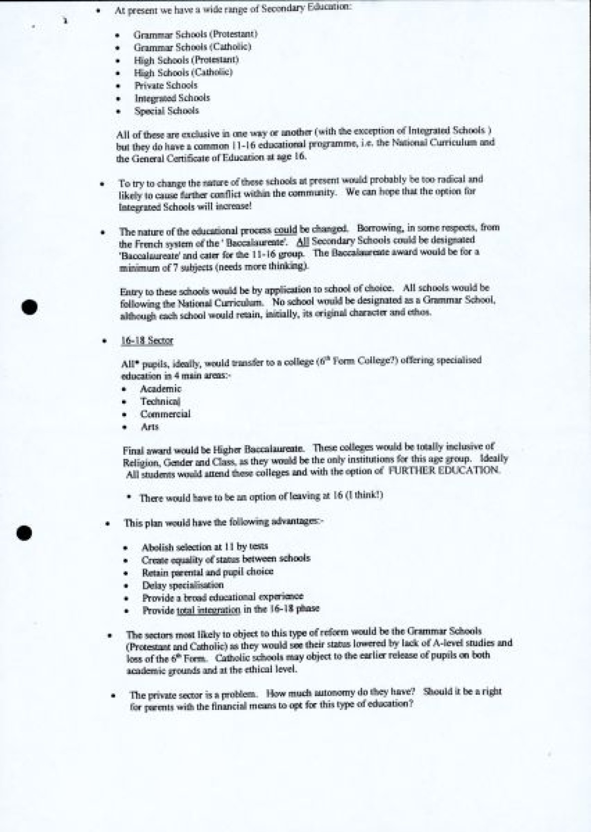
A draft document written by the Northern Ireland Women's Coalition addressing issues around the secondary education system in Northern Ireland titled 'Statements of Philosophy.' The document proposes changes to the existing education system including the abolition of the 11 plus, and the incorporation of integrated and inclusive education based on the French Baccalaureate system.

Collection:

Northern Ireland Political Collection, Northern Ireland Women's Coalition,

Copyright Holder:

Northern Ireland Women's Coalition

Keywords:

Female Representation, Women's Voice, Politics, Political Parties, Leadership, Election, Voting, Campaign, Party Politics, Women's Groups, Women's Movement, Women, Women's Experiences, Education, Integrated Education

Audio & Video:

Images & PDFs: