Extra Ordinary Women Logo Linen Hall Library Logo
search icon

Explore our Collections

close icon
(9)_v0_web.jpg -

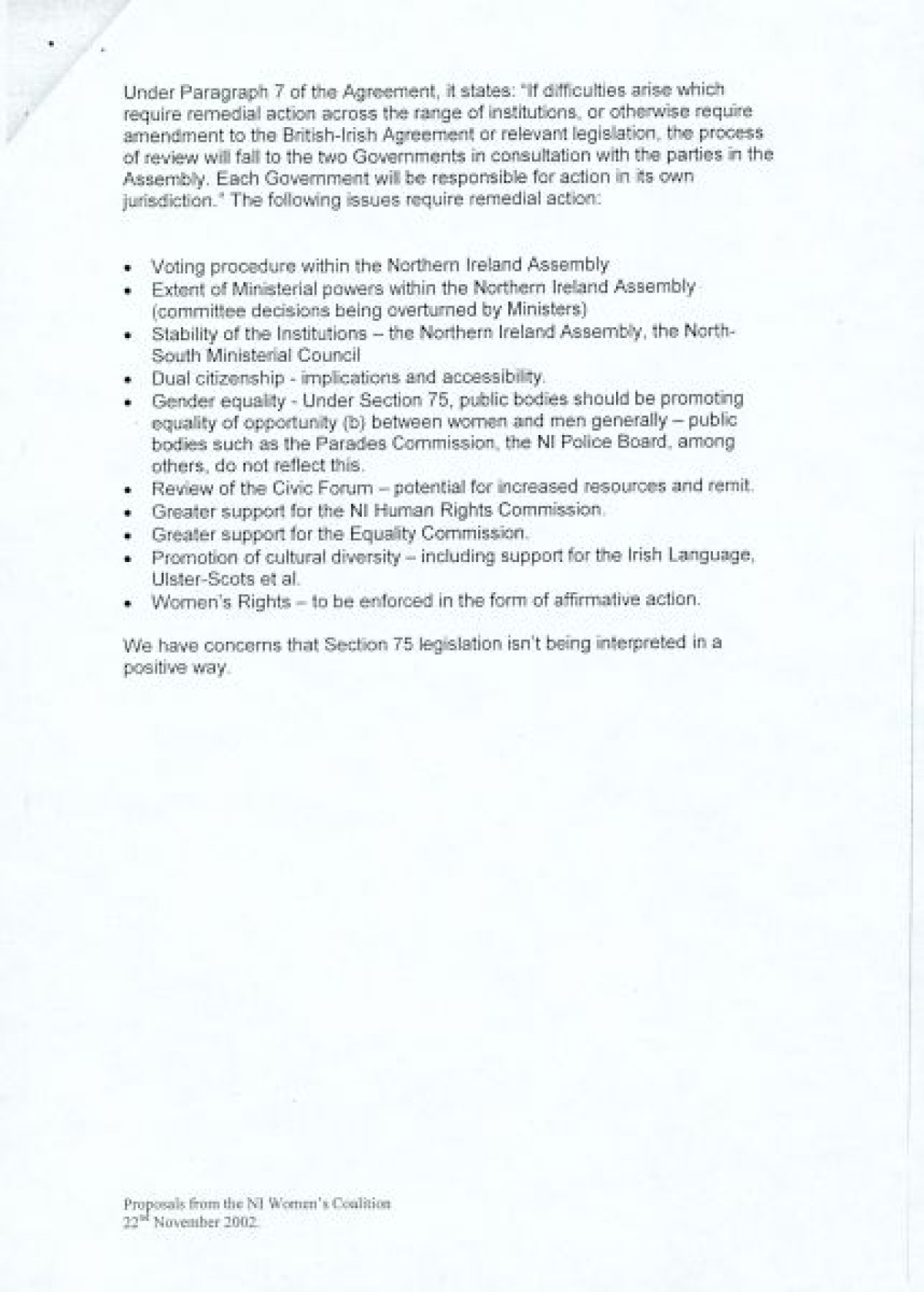
Implementation of the Belfast Agreement

Date:

22/11/2002

REF:

NIPC/WC/BOX19(16)

Scope and Content:

A proposal paper published in November, 2002, by the Northern Ireland Women's Coalition regarding the implementation of the Good Friday/Belfast Agreement. Includes bullet point listings on key issues flagged for remedial action, and issues not yet fully implemented in the Agreement.

Collection:

Northern Ireland Political Collection, Northern Ireland Women's Coalition,

Copyright Holder:

Northern Ireland Women's Coalition

Keywords:

Female Representation, Women's Voice, Politics, Political Parties, Leadership, Election, Voting, Campaign, Party Politics, Women's Groups, Women's Movement, Women, Women's Experiences, Good Friday (Belfast) Agreement

Audio & Video:

Images & PDFs: