Extra Ordinary Women Logo Linen Hall Library Logo
search icon

Explore our Collections

close icon
(10)_v0_web.jpg -

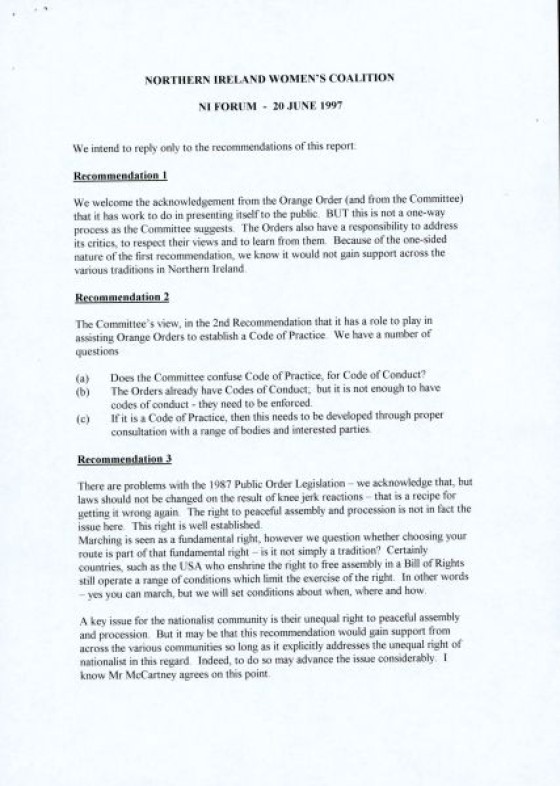
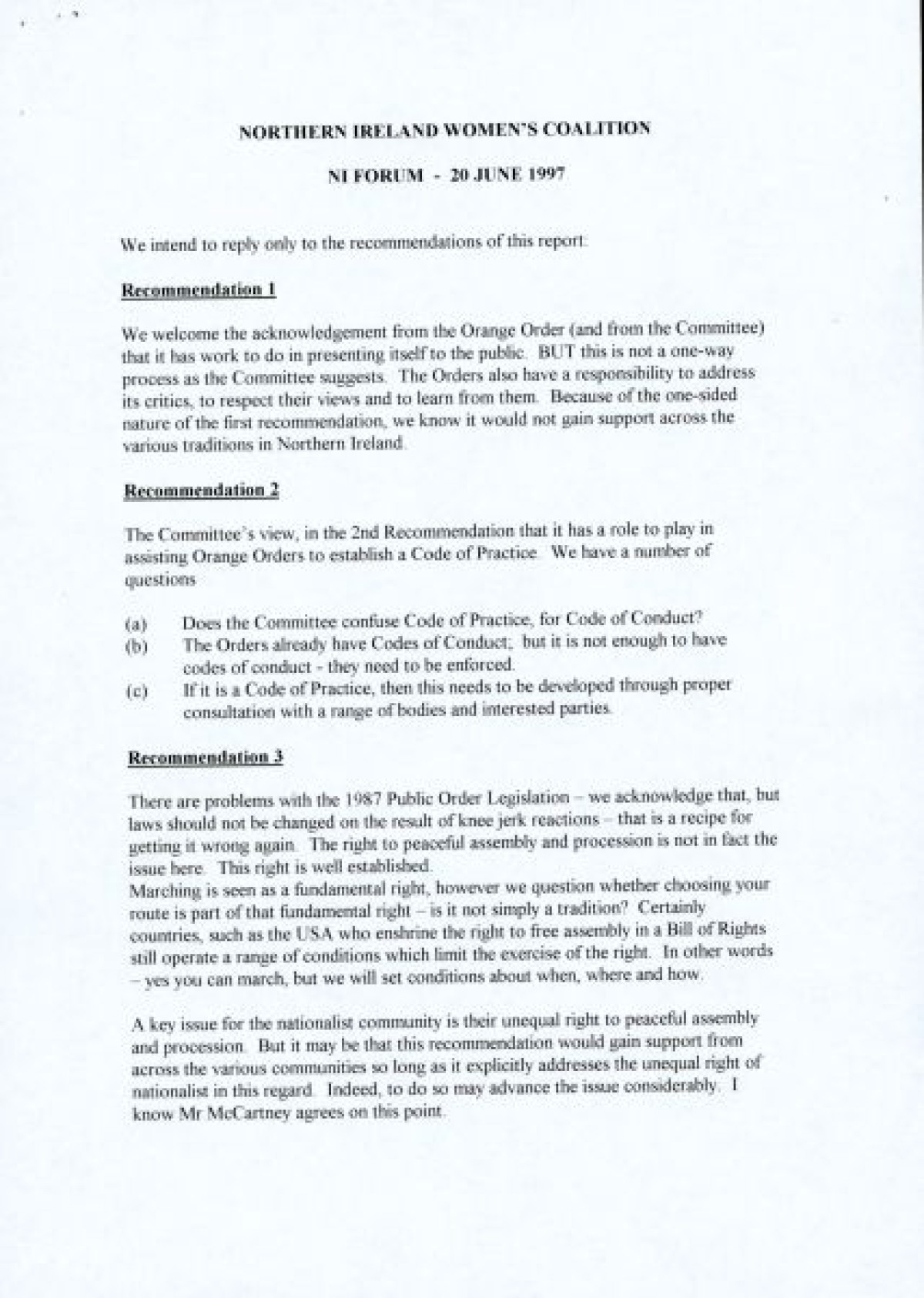
N.I. Women's Coalition response to N.I Forum

Date:

20/06/1997

REF:

NIPC/WC/BOX18(4)

Scope and Content:

The Northern Ireland Women's Coalition response to the N.I Forum on the 20th June 1997. Includes the Coalition's reply to a number of recommendations made pertaining to the Orange Order.

Collection:

Northern Ireland Political Collection, Northern Ireland Women's Coalition,

Copyright Holder:

Northern Ireland Women's Coalition

Keywords:

Female Representation, Women's Voice, Politics, Political Parties, Leadership, Election, Voting, Campaign, Party Politics, Women's Groups, Women's Movement, Women, Women's Experiences

Audio & Video:

Images & PDFs: