Extra Ordinary Women Logo Linen Hall Library Logo
search icon

Explore our Collections

close icon
(17)_v0_web.jpg -

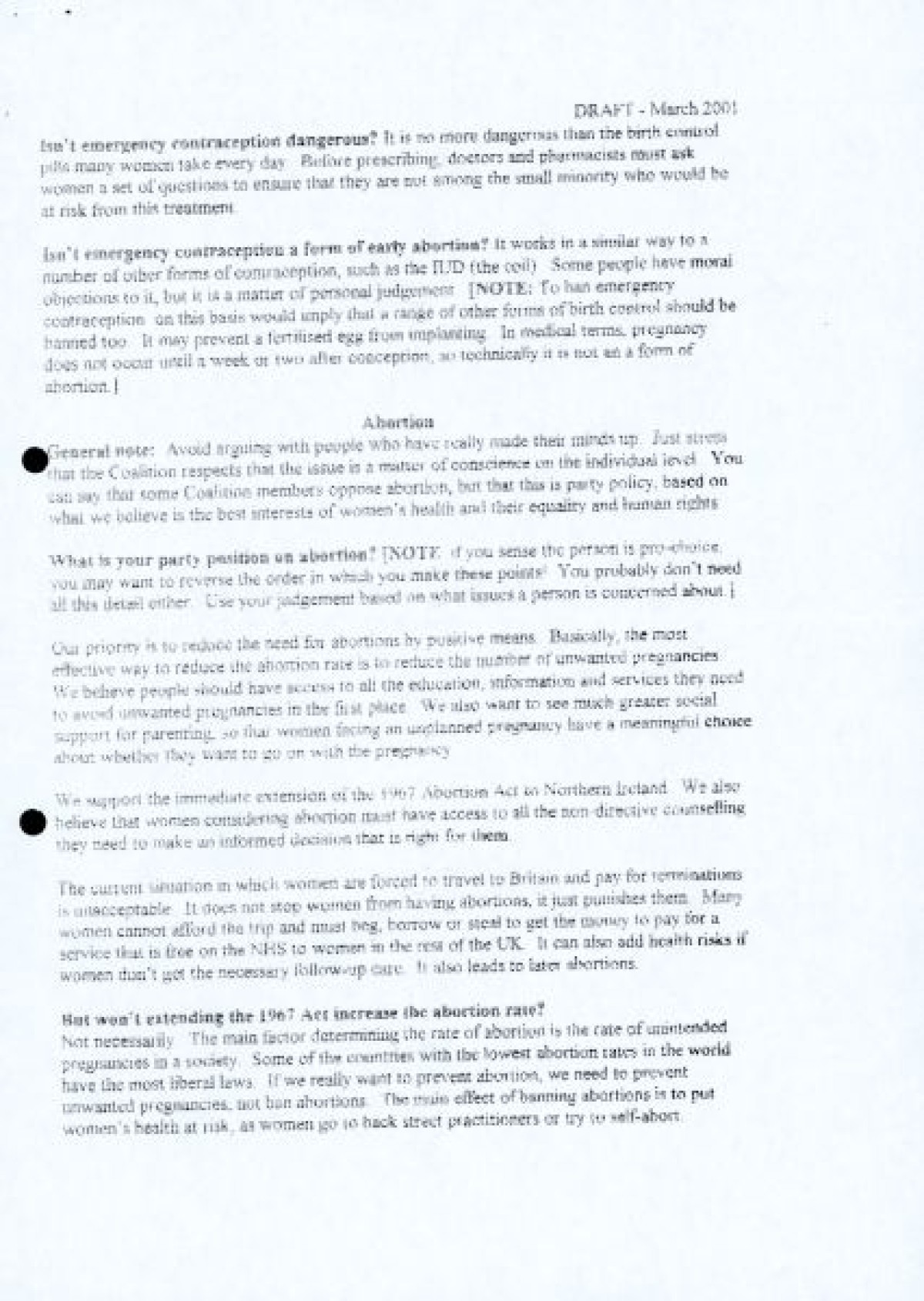
Questions and Answers: Reproductive and Sexual Health Policy

Date:

March 2001

REF:

NIPC/WC/BOX21(7)

Scope and Content:

A draft document published by the Northern Ireland Women's Coalition outlining the party's proposed policies on reproductive and sexual health during their election campaign in 2001.

Collection:

Northern Ireland Political Collection, Northern Ireland Women's Coalition,

Copyright Holder:

Northern Ireland Women's Coalition

Keywords:

Female Representation, Women's Voice, Politics, Political Parties, Leadership, Election, Voting, Campaign, Party Politics, Women's Groups, Women's Movement, Women, Women's Experiences, Sexual Health, Reproductive Rights, Maternity, Sex Education, Abortion, Pregnancy

Audio & Video:

Images & PDFs: