Extra Ordinary Women Logo Linen Hall Library Logo
search icon

Explore our Collections

close icon
(13)_v0_web.jpg -

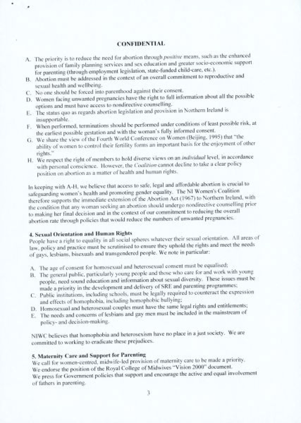
Reproductive and Sexual Health Policy - N.I. Women's Coalition

Date:

08/10/2000

REF:

NIPC/WC/BOX15(8)

Scope and Content:

A policy document published in 2000 by the N.I Women's Coalition titled 'Reproductive and Sexual Health Policy: Executive Summary and Recommendations.' Includes the party's key priorities on sex education, access to contraceptives, abortion, sexual orientation and human rights, maternity care, and infertility treatments.

Collection:

Northern Ireland Political Collection, Northern Ireland Women's Coalition,

Copyright Holder:

Northern Ireland Women's Coalition

Keywords:

Female Representation, Women's Voice, Politics, Political Parties, Leadership, Election, Voting, Campaign, Party Politics, Women's Groups, Women's Movement, Women, Women's Experiences, Sexual Health, Sex Education, Sexuality, Abortion, Single Parent, Pregnancy, Teenage Pregnancy, LGBTQ+

Audio & Video:

Images & PDFs: